Abstract
Introduction
Coronavirus disease 2019 (COVID-19) is a life-threatening condition of high relevance for co-morbid patients, such as those with baseline hematological malignancies (HM). One year after the diagnosis of the first COVID-19 case, at the end of 2020, the first vaccines against the severe acute respiratory syndrome coronavirus 2 (SARS-CoV-2) were administered to the population, starting with individuals at highest risk of infection. EPICOVIDEHA aims to describe the epidemiology, vaccination strategies and mortality rates from HM patients at risk.
Methods
We collected clinical and epidemiological data from patients with laboratory-based diagnosis of SARS-CoV-2 infection after partial or complete vaccination. The study was sponsored by the European Hematology Association - Infectious Diseases Working Party. Patients were registered in the EPICOVIDEHA online survey between January 1, 2021 and July 31, 2021 from Europe and United States. Data captured included underlying conditions prior to SARS-CoV-2, HM status and management prior to SARS-CoV-2, SARS-CoV-2 vaccination and infection details and mortality. The survey will continue until December 31, 2021.
Results
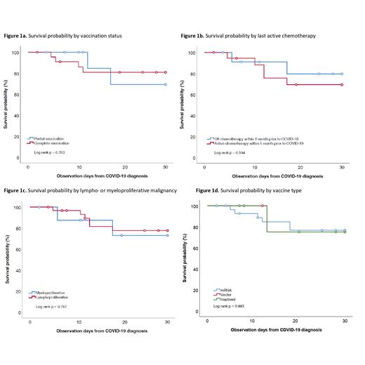
Overall, 40 patients have been so far registered, 24 male and 16 females, the vast majority of them aged over 50 years (N=38, 95%). Three quarters of patients were affected by lymphoproliferative malignancies (chronic lymphoid leukemia [CLL] N=14 and non-Hodgkin lymphoma [NHL] and multiple myeloma [MM] N=8, each), followed by myelodysplastic syndrome (MDS) (N=4), acute myeloid leukemia (AML) (N=2) and others (chronic myeloid leukemia [CML], acute lymphoid leukemia [ALL], polycythemia vera [PV] and aggressive mastocytosis one of each). Thirty-one patients (77.5%) were receiving active treatment for underlying HM at the time of SARS-CoV-2 infection, with 16 of them being on chemotherapy in the month prior to infection. All patients were vaccinated with a median time from vaccine to SARS-CoV-2 infection of 45.5 days (IRQ 19-67.5). Twenty-nine patients received a mRNA vaccine (BioNTech/Pfizer N=28, Moderna COVE N=1), whereas the remaining 11 an inactivated vaccine (Sinovac CoronaVac N=6) and vector-based vaccine (AstraZeneca Oxford N=5). Twenty-three patients were completely vaccinated, of which 22 (97.5%) patients were immunized (a minimum of 15 days following second dose). On the contrary, among 17 patients partially vaccinated, none was immunized. In 9 cases, viral genomes were analyzed (English variant N=7, South Africa variant N=1, Indian variant N=1). Overall, 25/40 patients presented with a severe/critical infection (62.5%), 13 of which (52%) were fully vaccinated and immunized, whereas only 15 (37.5%) were asymptomatic or mildly symptomatic. Twenty-seven (92.5%) patients were admitted to hospital, 5/27 (18.5%) to ICU, all requiring mechanical ventilation. After a follow-up of 30 day from SARS-CoV-2 infection, 8 patients died (20%), with 7/8 deaths (87.5%) attributable to SARS-CoV-2. There was no difference in overall survival between those patients that received 2 doses of vaccine or 1 dose (figure 1a), as well as no difference being observed between patients with and without lymphoproliferative malignancies (figure 1b), patients that receiving/not receiving active treatment in the last month (figure 1c), or the type of vaccine injected (figure 1d).
Conclusions
Our survey, involving over 150 Hematology Departments around the world, provides some preliminary insights. The majority of patients who do not respond to vaccination are patients with lymphoproliferative diseases, as can also be observed for other types of vaccination (e.g., flu-vaccination). Dramatically the mortality observed in all patients, although lower than that observed in the pre-vaccination period which in our experience was around 31%, still remains high (20%). Recruitment to this survey continues, and we hope that with larger numbers of cases, more definitive conclusions can be drawn to develop strategies to keep these complex patients safe.
Lopez-Garcia: Celgene: Other: Speaker Honoraria; Abbvie: Other: Speaker Honoraria, Advisor, Travel and accommodation grants; Janssen: Other: Speaker Honoraria, Advisor, Travel and accommodation grants, Research Funding; Roche: Other: Speaker Honoraria, Travel and accommodation grants; Novonordisk: Other: Speaker Honoraria; Fresenius: Other: Speaker Honoraria. Glenthoej: Novo Nordisk: Honoraria; Agios: Consultancy, Membership on an entity's Board of Directors or advisory committees; Novartis: Consultancy, Membership on an entity's Board of Directors or advisory committees; bluebird bio: Consultancy, Membership on an entity's Board of Directors or advisory committees; Celgene: Consultancy, Membership on an entity's Board of Directors or advisory committees; Alexion: Research Funding. Mikulska: Biotest: Speakers Bureau; Janssen: Speakers Bureau; MSD: Speakers Bureau; Gilead: Speakers Bureau; Pfizer: Membership on an entity's Board of Directors or advisory committees, Speakers Bureau. Busca: Gilead Sciences: Other: Lecture Honoraria; Merck: Other: Lecture Honoraria; Pfizer Pharmaceuticals: Other: Lecture Honoraria; Basilea: Other: Lecture Honoraria; Biotest: Other: Lecture Honoraria; Jazz Pharmaceuticals: Other: Lecture Honoraria; Takeda: Membership on an entity's Board of Directors or advisory committees. Corradini: KiowaKirin; Incyte; Daiichi Sankyo; Janssen; F. Hoffman-La Roche; Kite; Servier: Consultancy; AbbVie, ADC Theraputics, Amgen, Celgene, Daiichi Sankyo, Gilead/Kite, GSK, Incyte, Janssen, KyowaKirin, Nerviano Medical Science, Novartis, Roche, Sanofi, Takeda: Honoraria; AbbVie, ADC Theraputics, Amgen, Celgene, Daiichi Sankyo, Gilead/Kite, GSK, Incyte, Janssen, KyowaKirin, Nerviano Medical Science, Novartis, Roche, Sanofi, Takeda: Consultancy; Amgen; Takeda; AbbVie: Consultancy, Honoraria, Other: Travel and accommodations; Novartis; Gilead; Celgene: Consultancy, Other: Travel and accommodations; BMS: Other: Travel and accommodation; Sanofi: Consultancy, Honoraria; Incyte: Consultancy; Novartis, Janssen, Celgene, BMS, Takeda, Gilead/Kite, Amgen, AbbVie: Other: travel and accomodations. Hoenigl: Gilead, Pfizer, Astellas, Scynexis, and NIH: Research Funding. Klimko: Gilead Science, MSD, Pfizer: Membership on an entity's Board of Directors or advisory committees; Gilead Sciences, MSD, Pfizer Pharmaceuticals, and Astellas Pharma: Speakers Bureau. Pagliuca: Gentium/Jazz Pharmaceuticals: Honoraria, Membership on an entity's Board of Directors or advisory committees, Speakers Bureau; Gilead, Pfizer, and MSD: Research Funding. Passamonti: Celgene: Membership on an entity's Board of Directors or advisory committees, Speakers Bureau; Novartis: Membership on an entity's Board of Directors or advisory committees, Speakers Bureau; AbbVie: Speakers Bureau; BMS: Membership on an entity's Board of Directors or advisory committees, Research Funding, Speakers Bureau; Janssen: Membership on an entity's Board of Directors or advisory committees, Speakers Bureau. Köhler: German Federal Ministry of Research and Education and the State of North Rhine-Westphalia, Germany: Other: Support; Miltenyi Biotec GmbH, Bergisch Gladbach, Germany, and the Cologne Excellence Cluster on Cellular Stress Responses in Aging-Associated Diseases, University of Cologne, Cologne, Germany: Other: Non-financial grants; Akademie für Infektionsmedizin e.V., Ambu GmbH, Astellas Pharma, European Confederation of Medical Mycology, Gilead Sciences, GPR Academy Ruesselsheim, MSD Sharp & Dohme GmbH, Noxxon N.V., and University Hospital, LMU Munich: Consultancy, Honoraria. Cornely: Amplyx, Basilea, BMBF, Cidara, DZIF, EU-DG RTD (101037867), F2G, Gilead, Matinas, MedPace, MSD, Mundipharma, Octapharma, Pfizer, Scynexis: Other: Grants or Contracts. Pagano: Gilead Science, MSD, Pfizer, Basilea, Janssen, Novartis, Jazz Pharmaceutical, Cidara: Membership on an entity's Board of Directors or advisory committees; Gilead Sciences, MSD, Pfizer Pharmaceuticals, Astellas Pharma: Speakers Bureau; Menarini: Consultancy.
